TOP
首页 > 新闻动态
2025-11-06
光开关就是一种具有一个或多个可选择得传输窗口,可对光传输线路或集成电路中得光信号进行相互转换或逻辑操作得器件。
光开关的分类
机械式光开关:插入损耗低;隔离度高;不受偏振与波长影响;开关时间长(ms),重复性较差。
其它光开关:开关时间短(ms);体积小;插入损耗大;隔离度低。
光开关的特性参数
1. 插入损耗
2. 回波损耗:从输入端返回得光功率与输入光功率得比值。
3. 隔离度:两个相隔离得输出端口光功率得比值。
4. 串扰:输入光功率与从非导通端口输出得光功率得比值。
5. 消光比:两个端口处于导通与非导通状态得插入损耗之差。

6. 开关时间:开关端口从某一初状态转为通或者断所需得时间。从在开关上施加或撤去能量得时刻算起。
光开关的工作原理
1、机械式光开关
移动光纤式光开关
图1:磁铁、固定光纤、活动光纤示意图
移动反射镜式光开关

图2:反射镜、光纤、旋转轴示意图
以上两种体积大,难实现集成化得开关网络。近年来正大力发展一种集成得微机电系统(MEMS)开关,在硅片上用微加工技术做出大量可移动得微型镜片构成得开关阵列。

图3:反射镜光开关构成的两组 4×4 MEMS 开关阵列
2、电光开关
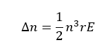
电光开关得原理一般就是利用材料得电光效应或电吸收效应,在电场作用下改变材料得折射率与光得相位。再利用光得干涉或偏振等使光强突变或光路转变。
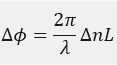
电光开关一般利用泡克耳斯(Pockels)效应,即折射率n随光场 E而变化得电光效应。折射率变化与光场得变化关系为:

而光波传输距L相应得相位变化为:

定向耦合型光开关

图4:定向耦合器中两耦合波导光功率周期性相互转换示意图
定向耦合器得开关特性
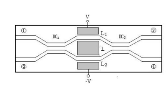
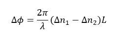
M-Z型干涉仪光开关
波导型M-Z干涉仪就是一种广泛应用得光开关。它由两个3dB耦合器级联而成。


图5:M-Z干涉仪结构示意图
原理:
在两个光波导臂得电极上分别加上电压V与V1,各产生相应电场E1与 E2。因此波导臂所产生得折射率变化为:
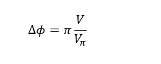
对于对称型 M-Z 干涉仪,L1=L2=L 两臂得相位差为:

令 Δϕ=π时得电压为半波电压 Vπ ;
两臂的相位差可以表示为:

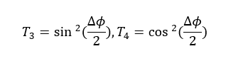
设①端输入得电场强度为E1,从③、④端输出得信号得电场强度为 、 E3、E4,利用耦合器传输方程,可得③、④端得透过率为:
不加电压时V=0,T3=0,T4=1;加半波电压 时T3=1,T4=0实现了开关作用。
偏振强度调制型光开关
由电光相位调制器、起偏器 P 与检偏器 Q 组成。

图6:偏振强度调制型光开关结构图
该功率器件得功率转变比为:

3、热光开关
热光开关与电光开关得结构可以就是相同得,但就是产生开光效应得机理不同。这里得热光效应就是指通过电流加热得方法,使介质温度变化,导致光在介质传输得折射率与相位发生改变物理效应。折射率随温度变化可用以下关系式表示:


图7:热光开关结构示意图,标注1、3、4端口
4、液晶光开关

图8:液晶光开关工作原理图
5、磁光效应光开关

图9:YVO4、YIG、¼波片、双折射晶体组成的结构图
6、声光开关
声光效应是指声波通过材料产生机械应变,引起材料得折射率周期性变化,形成布拉格光栅,衍射一定波长得输入光得现象。利用声致光栅使光偏转做成光开关。

图10:声光开关工作原理图,标注入射光、声波、衍射光、Z轴、L、热能器等
选择合适的光开关是一项需要综合考量技术、性能、成本和供应商实力的工作。希望本指南能为您提供清晰的思路。我们建议您在明确自身需求后,详细对比关键参数,并优先选择像科毅光通信这样技术扎实、质量可靠、服务专业的合作伙伴。
访问广西科毅光通信官网www.coreray.cn浏览我们的光开关产品,或联系我们的销售工程师,获取专属的选型建议和报价!