TOP
首页 > 新闻动态
2026-01-14
传统机械式光开关虽然插入损耗低、隔离度高,但响应速度慢、体积大;而非机械式光开关则在损耗与隔离度之间难以兼顾。针对这些技术瓶颈,我们科毅光通信深入研发,成功引入基于塔尔波特效位相编码的衍射光栅光纤光开关技术,该技术具备低损耗、高隔离、结构紧凑、可编程控制等显著优点,尤其适合大端口数1×N光开关的应用场景。
衍射光栅光纤光开关的核心是一对互补的塔尔波特位相编码位相板,包括正位相板与负位相板。光路依次经过输入光纤、输入耦合透镜、互补位相板、输出耦合透镜,最终进入输出光纤组。通过编程控制装置驱动移动器,使正负位相板沿轴线相对平行移动,实现对光束偏转方向的精确控制,从而将光信号耦合到不同的输出光纤中。

图1:位相板在光开关中使用示意图 -广西科毅光通信
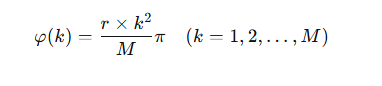
该光开关的位相板表面设计有周期重复的二次位相函数分布栅线,其位相分布遵循塔尔波特阵列照明编码规则。
具体而言,每个周期被均匀分为M等分,每一等分的位相值由以下公式确定:
当M为偶数时:

当M为奇数时:

其中,参数r由p×r=kr×M+1p×r=kr×M+1决定,p、r、M为正整数,k_r为非负整数。这种编码方式使得位相板具备优异的光束控制能力。

图2:一维位相板分布示意图,展示周期d与M等分位相结构
传统光开关在扩展端口时往往伴随损耗大幅上升。本技术通过正负位相板的互补设计,在无位移状态下位相抵消,光几乎无损耗直通;在位移状态下,通过线性位相调制实现光束偏转,其插入损耗可精确控制在较低水平。根据理论计算,插入损耗与位移量Δ、分割数M密切相关,公式为:

在实际设计中,通过优化M与Δ,可在维持高隔离度的同时,将损耗控制在理想范围内。
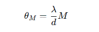
该技术能轻松实现1×N光开关,N可达数十甚至上百端口。光束最大偏转角度为:

通过缩小周期d、增大M,即可在有限尺寸内实现多端口输出。位相板尺寸可小至数毫米见方,整机体积远小于传统机械开关。
采用微位移驱动方式,位移量仅为微米级,结合编程控制,可实现毫秒级切换,适用于动态光网络调配。支持数字化控制,易于集成到智能光系统中。
位相板采用二元光学技术制备,兼容主流微电子工艺,如光刻、反应离子刻蚀等,具备量产可行性。台阶数L可通过素数分解规则预估,便于工艺难度与成本评估。
在实际应用中,插入损耗随位移量Δ增加而逐渐上升,随分割数M增加而下降。下图展示了M=8时,IL随Δ变化的关系:

图3:M=8时插入损耗随位移量Δ变化曲线

图4:Δ=1时插入损耗随M增加而下降曲线
根据上述曲线及理论模型,设计者可依据目标端口数N(N=2Δ+1)与允许损耗,反向推导出所需的M与L,从而指导位相板制备。
下表列出在IL=0.92dB时,N、M与L的对应关系,供工程参考:
Δ | 端口数N=2Δ+1 | 分割数M | 台阶数L |
1 | 3 | 4 | 3 |
2 | 5 | 8 | 4 |
3 | 7 | 12 | 6 |
4 | 9 | 16 | 7 |
5 | 11 | 20 | 9 |
这项技术特别适用于:
l 光纤通信系统中的路由切换与保护倒换
l 数据中心光网络的动态重构
l 光纤传感与测试系统的多通道选择
l 航空航天与国防通信中的高可靠光开关组件
广西科毅光通信科技有限公司依托该专利技术,已成功开发系列化衍射光栅光开关模块,具备低损耗、高隔离、小体积、长寿命等特点。我们持续优化工艺,提升端口密度,并结合客户实际组网需求,提供定制化光开关解决方案。
衍射光栅光纤光开关代表了光开关技术的一个重要发展方向,其结合了衍射光学与微位移控制的优势,在性能、尺寸与成本之间取得良好平衡。作为光通信器件领域的创新者,广西科毅光通信将继续深耕光学设计与工艺实现,推动高性能光开关在更多场景中的应用,助力光网络向更高速、更智能、更可靠的方向演进。
如果您对衍射光栅光开关、1×N光开关或其他光无源器件有需求或技术咨询,或想了解更多光通信相关产品信息,访问广西科毅光通信官网www.coreray.cn浏览我们的光开关产品,或联系我们的销售工程师,获取专属的选型建议和报价!我们将为您提供专业的产品支持与系统解决方案。
择合适的光开关等光学器件及光学设备是一项需要综合考量技术、性能、成本和供应商实力的工作。希望本指南能为您提供清晰的思路。我们建议您在明确自身需求后,详细对比关键参数,并优先选择像科毅光通信这样技术扎实、质量可靠、服务专业的合作伙伴。
(注:本文部分内容由AI协助习作,仅供参考)